Gong Shim z
Browse By Category
Home
Disclaimer
Contact
About Me
gongshimc
View my complete profile
Powered by
Blogger
.
Home
/
Gong Shim z
/
Soalan Indeks Dan Logaritma Tingkatan 4
Soalan Indeks Dan Logaritma Tingkatan 4
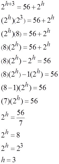
Soalan Indeks Dan Logaritma - Kecemasan 2
via
kecemasan2.blogspot.com
Contoh Soalan Indeks Dan Logaritma Tingkatan 4 - Soalan Bb
via
soalanbb.blogspot.com
Contoh Soalan Indeks Dan Logaritma Tingkatan 4 - Soalan Bb
via
soalanbb.blogspot.com
Contoh Soalan Indeks Dan Logaritma Tingkatan 4 - Selangor V
via
selangorv.blogspot.com
Modul 5 Indices & Logarithms Logarithm Lie Groups
via
www.scribd.com
Matematik Tambahan Spm Tingkatan 4 Indeks Dan Logaritma
via
www.slideshare.net
Contoh Soalan Indeks Dan Logaritma Tingkatan 4 - Selangor V
via
selangorv.blogspot.com
Soalan Kbat Indeks Dan Logaritma - Persoalan S
via
persoalans.blogspot.com
Soalan Kbat Indeks Dan Logaritma - Persoalan S
via
persoalans.blogspot.com
Matematik Tambahan: Indeks Dan Logaritma
via
cgrazakabdrahman.blogspot.com
Contoh Soalan Indeks Dan Logaritma Tingkatan 4 - Selangor V
via
selangorv.blogspot.com
Add Math Dan Anda
via
mudah-addmath.blogspot.com
Cikgu Azman - Bukit Jalil: Add Math F4 Bab 5 Indeks Dan
via
cikguazmanbukitjalil.blogspot.com
Matematik Tambahan Spm Tingkatan 4 Indeks Dan Logaritma
via
www.slideshare.net
Contoh Soalan Indeks Dan Logaritma Tingkatan 4 - Soalan Bb
via
soalanbb.blogspot.com
Cikgu Azman - Bukit Jalil: Add Math F4 Bab 5 Indeks Dan
via
cikguazmanbukitjalil.blogspot.com
Random Image
Related Posts To Soalan Indeks Dan Logaritma Tingkatan 4
Soalan Indeks Dan Logaritma Tingkatan 4
2020-06-13T17:20:00-07:00
Rating:
4.5
Posted by:
gongshimc
« Newer Post
Older Post »
Search Here
Popular Posts
Game Of Thrones Season 8 Episode 3 Canada
Watch game of thrones season 8 episode 3, game of thrones season 8 episode 3 torrent, game of thrones season 8 episode 3 reviews, game of th...
Game Of Thrones 8 Fragman Türkçe
Game of thrones 8 fragman türkçe ingilizce, game of thrones 8 fragman türkçe çeviri, game of thrones 8 fragman türkçe dublaj, game of throne...
Perodua Viva Brochure
Perodua viva, perodua viva specification, perodua viva image, perodua viva elite, perodua viva for sale, perodua viva elite premium, perodua...
Harga Tayar Perodua Bezza
Harga tayar 19, harga tayar myvi, harga tayar kereta, harga tayar terkini, harga tayar kereta 2018, harga tayar kereta exora, harga tayar si...
Perodua Myvi Chinese New Year Promotion
Perodua myvi, perodua myvi new, perodua myvi monthly payment, perodua myvi red, perodua myvi spec, perodua myvi dimension, perodua myvi majo...
Maulid Nabi Libur Nasional
Maulid nabi, maulid nabi muhammad, maulid nabi pdf, maulid nabi 2016, maulid nabi 2017, maulid nabi muhammad 2017, maulid nabi muhammad saw,...
Soalan Matematik Algebra Tingkatan 3
Soalan matematik algebra tingkatan 3 sejarah, soalan matematik algebra tingkatan 3 sains, soalan matematik algebra tingkatan 3 geografi, soa...
Game Of Thrones Season 8 Premiere Stream Reddit
Game of thrones season 8 premiere date time, game of thrones season 8 premiere event, game of thrones season 8 premiere hbo, game of thrones...
Teks Pembawa Acara Maulid Nabi Dalam Bahasa Sunda Lucu
Teks pembawa acara maulid nabi, teks pembawa acara maulid, teks pembawa acara, teks pembawa acara rapat, teks pembawa acara pengajian, teks ...
Super Bowl Live Stream Commercials
Super bowl live stream free with commercials, super bowl live stream with commercials, cbs super bowl live stream, watch super bowl live str...
Total Pageviews
Recent Posts
►
2021
(341)
►
February
(160)
►
January
(181)
▼
2020
(2322)
►
December
(192)
►
November
(160)
►
October
(192)
►
September
(152)
►
August
(166)
►
July
(187)
▼
June
(164)
Contoh Soalan Temubual Sejarah
Contoh Soalan Ujian Lesen Vokasional
Contoh Soalan Perkhidmatan Awam N19
Contoh Soalan Burung Terbang Dipipiskan Lada
Contoh Soalan Kuiz Kenegaraan
Surat Rayuan Masuk Asrama Politeknik
Soalan Ramalan Spm 2019 Bahasa Melayu Karangan
Soalan Pbs Geografi Tingkatan 3
Soalan Sains Upsr Percubaan 2019
Surat Permohonan Kerja Guru Honor
Soalan Dalam Jawi
Soalan Pertengahan Tahun Darjah 4
Contoh Soalan Ekonomi Tingkatan 4 Kertas 2
Contoh Soalan Bm Upsr Format Baharu
Contoh Soalan Novel Tirani Spm
Contoh Surat Rayuan Kemasukan Ke Sekolah Asrama
Teknik Menjawab Soalan Fizik Kertas 3
Contoh Soalan Jawatan N29
Contoh Soalan Integriti Akademik
Soalan Bahasa Inggeris Tahun 4 Dan Skema Jawapan
Contoh Soalan Pt3 2019 Matematik
Soalan Bina Ayat Bahasa Melayu Tahun 2
Soalan Peperiksaan Bahasa Melayu Tingkatan 1
Soalan Vokasional Gdl
Soalan Rae Dan Jawapan
Soalan Percubaan Spm 2019 Fizik Johor
Contoh Soalan Arab Tahun 2
Contoh Soalan Pengetahuan Am Akauntan
Soalan Yang Ditanya Semasa Nikah
Soalan Integriti Pdrm Konstabel
Soalan Jawi Tahun 1 Akhir Tahun 2019
Soalan Peperiksaan Akhir Tahun Darjah 1 Dlp
Contoh Soalan Esei Sejarah Tingkatan 5 Bab 3
Soalan Upsr 2019 Pdf
Contoh Contoh Soalan Kbat Sejarah Tingkatan 5
Soalan Temu Bual Geografi
Contoh Soalan Penolong Pegawai N29
Contoh Soalan Esei Sejarah Spm
Soalan Matematik Tingkatan 4 Akhir Tahun Dan Jawapan
Format Soalan Ptd
Soalan Pt3 2019 Matematik
Soalan Add Math Logarithm
Soalan Akhir Tahun Matematik Tahun 4 Format Baru
Format Surat Rayuan Imigresen
Soalan Tambah Darjah 2
Soalan Percubaan Upsr 2019 Matematik Terengganu
Soalan Latihan Matematik Tingkatan 1 Pecahan
Soalan Bahasa Melayu Tahun 5 Penulisan
Soalan Matematik Tahun 4 Ukuran Panjang
Soalan Am Mengenai Malaysia
Contoh Soalan Final Exam Politeknik Jabatan Kejuru...
Contoh Soalan Peperiksaan Sejarah Kertas 3 Tingkat...
Soalan Sejarah Tingkatan 4 Kertas 2 Akhir Tahun
Contoh Soalan Dan Jawapan Geografi Stpm Penggal 1
Contoh Soalan Objektif Sejarah Tingkatan 2
Surat Permohonan Kerja Juruteknik
Contoh Soalan Exam Titas
Contoh Soalan Objektif Sejarah Tingkatan 5 Bab 1
Cara Buat Surat Rayuan Sekolah Teknik
Contoh Soalan Bahasa Inggeris Tahun 5 2019
Soalan Amali Fizik
Soalan Pengetahuan Am Kerajaan
Soalan Percubaan Spm 2019 Bahasa Inggeris Terengganu
Contoh Soalan Kajian Kes Geografi
Contoh Soalan Peperiksaan Online Spa Latihan Separ...
Soalan Berkaitan Ibadah Haji
Contoh Soalan Objektif Sejarah Spm
Contoh Soalan Upsr Bahasa Melayu Kertas 1
Contoh Soalan Peperiksaan Online Penolong Pegawai ...
Soalan Common Interview
Contoh Soalan Kajian Kes Pengajian Perniagaan Peng...
Contoh Soalan Objektif Pendidikan Moral Tingkatan 1
Soalan Matematik Tahun 4 Dalam Bahasa Tamil
Soalan Dan Skema Jawapan Sejarah Tingkatan 4 Kertas 3
Contoh Soalan Dan Jawapan Bm Spm
Soalan Algebra Darjah 6
Koleksi Soalan Fizik Tingkatan 5
Contoh Soalan Kaji Selidik Stress
Soalan Matematik Tahun 1 Nombor Bulat
Surat Rayuan Gantung Sekolah
Soalan Dan Jawapan Geografi Stpm Penggal 1
Soalan Matematik Tahun 2 Mac
Soalan Latihan Add Math Tingkatan 4
Soalan Kbat Untuk Cerpen Hipertensi
Soalan Kaji Selidik Geografi Pt3
Contoh Soalan Linus Matematik Tahun 1
Kertas Soalan Darjah 1 Bahasa Melayu
Contoh Soalan Temuduga Imtiaz
Soalan Ungkapan Algebra Tingkatan 2
Contoh Soalan Final Exam Hubungan Etnik
Soalan Spm Ulangan 2019
Soalan Bahasa Melayu Tahun 4 Penjodoh Bilangan
Contoh Soalan Soal Selidik Kitar Semula
Surat Rayuan Masuk Sekolah Semula
Contoh Soalan Spm Cerakinkan Ayat
Soalan Indeks Dan Logaritma Tingkatan 4
Contoh Soalan Soal Selidik Minat Membaca
Soalan Tatabahasa Bahasa Melayu Tahun 6
Surat Rayuan Penamatan Kerja In English
Soalan Iq Matematik Dan Jawapan
►
May
(176)
►
April
(360)
►
March
(368)
►
February
(205)
►
2019
(7644)
►
November
(555)
►
October
(796)
►
September
(719)
►
August
(741)
►
July
(741)
►
June
(1359)
►
May
(1470)
►
April
(647)
►
March
(358)
►
February
(258)
►
2018
(1051)
►
December
(18)
►
November
(229)
►
October
(370)
►
September
(353)
►
August
(81)
Partners
Kebaya Solo